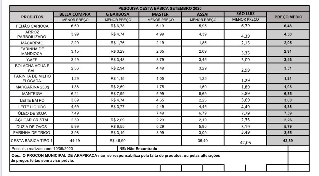
O Procon Arapiraca realizou mais uma pesquisa de preços de alimentos que compõem a cesta básica, em supermercados da cidade. Nesta ação, 15 itens foram observados e, de forma geral, constatado um reajuste de cerca de 15,2%, comparando com o mês de julho.
O óleo de cozinha é o produto que apresentou maior variação desde a pesquisa realizada pelo órgão em 30 de julho, passando de uma média de R$4,27 para R$ 7,39, com o menor valor encontrado a R$ 6,79.
Esse reajuste tem sido justificado pelos setores da economia e associações local e nacional de supermercados pela valorização do dólar e a consequente exportação dos produtos, mas os órgãos de defesa do consumidor, a exemplo de Procons, Ministério Público e OAB, destacam a necessidade de providências do governo federal para conter os frequentes aumentos.
“Além disso, nas fiscalizações desta semana, constatamos alguns supermercados limitando a venda deste produto à população, após a alta de preços. Todos foram notificados para apresentar em cinco dias justificativa sobre a medida adotada, que é prevista pelo Código de Defesa do Consumidor, mas que deve ser adotada com responsabilidade e motivadamente, podendo haver autuação do fornecedor caso isto não seja observado”, afirmou Cecília Wanderley, diretora do Procon Arapiraca.
A coordenadora ressalta que as reclamações e denúncias sobre estas e outras situações devem ser direcionadas aos canais oficiais de atendimento do Procon Arapiraca, através dos contatos: 3522-1010 / 99169-7786 ou proconarapiraca@gmail.com

Utilize o formulário abaixo para comentar.
Utilize o formulário abaixo para enviar ao amigo.
Ei, Áries, hoje é um ótimo dia para resolver aquela lista de tarefas que você está adiando. Com o sol brilhando na 6ª casa, seu foco está em fazer as coisas e ser produtivo. Assuma uma tarefa que está pesando em sua mente e divida-a em partes menores e gerenciáveis. Você sentirá uma sensação de realização ao riscar cada item da lista. Mantenha sua energia fazendo pausas regulares e mantendo-se hidratado. Previsão para 20/03/2026
Ei, Touro, hoje é um ótimo dia para realizar as tarefas que você está adiando. Sua produtividade e foco estarão certos, então use essa energia para avançar no trabalho ou em projetos pessoais. Espere algumas conversas úteis com colegas ou amigos que lhe darão informações valiosas e tornarão o seu dia mais eficiente. No entanto, faça pausas para se alongar e se movimentar - você precisará manter-se energizado para aproveitar ao máximo esse impulso. Mantenha suas prioridades claras e você estará progredindo rapidamente. Previsão para 20/03/2026
Gêmeos (21 de maio a 20 de junho): Hoje é um ótimo dia para resolver aquela lista de tarefas que você está adiando. Com a lua em um local produtivo, você estará focado e motivado para realizar as coisas. Use essa energia para enfrentar um grande projeto ou tarefa que está pesando sobre você. Não tenha medo de pedir ajuda se precisar - a colaboração pode mudar o jogo. Mantenha-se organizado e você ficará surpreso com o que pode realizar. Previsão para 20/03/2026
Ei, Câncer, hoje é um ótimo dia para resolver essa lista de tarefas. Com a lua em um signo prático, concentre-se em fazer as coisas e progredir em seus objetivos. Espere um impulso de energia e motivação para ajudá-lo a superar qualquer tarefa desafiadora. Não tenha medo de pedir ajuda se precisar e não seja muito duro consigo mesmo se não conseguir terminar tudo da sua lista. Faça pausas e mantenha-se hidratado para manter sua energia elevada. Previsão para 20/03/2026
Olá, Leo, hoje é um ótimo dia para resolver essa lista de tarefas. Você terá energia suficiente para enfrentar grandes projetos e fazer progressos reais. Não tenha medo de assumir o comando e liderar o caminho, seu carisma natural brilhará. Lembre-se de delegar tarefas a outras pessoas quando necessário, não tente fazer tudo sozinho. Espere um dia produtivo e gratificante pela frente. Previsão para 20/03/2026
Ei, Virgem, hoje é um ótimo dia para resolver essa lista de tarefas. Você estará super focado e produtivo, então aproveite ao máximo. Espere uma onda de energia e motivação para ajudá-lo a realizar tarefas e projetos. Suas habilidades organizacionais irão brilhar e você poderá até encontrar algum tempo para realizar uma ou duas atividades divertidas. Mantenha suas prioridades em ordem e você se sentirá realizado no final do dia. Previsão para 20/03/2026
Olá Libra, hoje é sua chance de realizar um projeto que está na sua lista de tarefas há algum tempo. Você tem a cabeça limpa e um olhar aguçado para os detalhes, então concentre-se nos detalhes e divida a tarefa em partes gerenciáveis. Não tenha medo de pedir ajuda se precisar – a colaboração pode ser um grande trunfo. Espere uma conversa construtiva com alguém em quem você confia, onde você obterá feedback e insights valiosos. Mantenha-se organizado e no caminho certo e você terminará rapidamente. Previsão para 20/03/2026
Ei, Escorpião, hoje é um ótimo dia para se esforçar e enfrentar aquele projeto que você está adiando. Seu foco e determinação serão úteis para que você faça isso com eficiência. Espere alguma orientação útil de um colega ou mentor que lhe dará uma nova perspectiva sobre a tarefa em questão. Esteja aberto às opiniões deles e você progredirá mais rápido do que imaginou ser possível. Use esse impulso para construir uma base sólida para o sucesso futuro. Previsão para 20/03/2026
Sagitário (22 de novembro a 21 de dezembro), a energia de hoje gira em torno de agir em prol de uma meta de longo prazo. Você já está pensando neste projeto há algum tempo e agora é a hora de começar a fazer planos concretos. Esteja preparado para trabalhar duro, mas saiba que seus esforços serão recompensados ??no final. Concentre-se nos detalhes e não tenha medo de pedir ajuda quando precisar. Com determinação e perseverança, você estará no caminho certo para realizar seu sonho. Previsão para 20/03/2026
Ei, Capricórnio, hoje é um ótimo dia para resolver essa lista de tarefas. Com a lua em um local produtivo, você conseguirá manter o foco e realizar muitas tarefas. Assuma grandes tarefas com confiança e não tenha medo de pedir ajuda quando precisar. Você está em uma fase prática e sensata, perfeita para lidar com projetos que precisam de muito esforço. Fique de olho no prêmio e você estará comemorando suas conquistas em pouco tempo. Previsão para 20/03/2026
Aquário, as estrelas de hoje sugerem um dia agitado pela frente, com muitas tarefas para realizar e pessoas para conhecer. Você pode se sentir um pouco disperso, mas priorize suas responsabilidades e concentre-se primeiro nas mais urgentes. Espere alguns conselhos úteis de um amigo ou colega que podem economizar tempo e energia. Use essas informações para tomar decisões inteligentes e permanecer no caminho certo. Não tenha medo de dizer não aos compromissos que não estão alinhados com seus objetivos. Previsão para 20/03/2026
Peixes, hoje você pode se sentir um pouco sobrecarregado com todas as tarefas que tem pela frente. Tente priorizar e focar primeiro nos mais importantes e não tenha medo de delegar, se puder. Você é naturalmente bom em multitarefas, mas não se espalhe muito. Faça pausas para recarregar as energias e focar novamente ao longo do dia. Com a cabeça limpa, você enfrentará desafios com facilidade. Previsão para 20/03/2026